The Truth is out there, Mulder. But so are lies.
Scully, X-Files
Introdução
A medicação precoce para o combate dos efeitos mais nocivos do Covid-19 tem sido defendida por parte da comunidade médica, entretanto não sem polêmica. Diversas associações como a Sociedade Brasileira de Infectologia e Associação Médica Brasileira têm se manifestado contra a utilização. A própria Merk (uma das empresas que fabrica a Ivermectina) afirmou que não existem evidências consistentes para a utilização de Ivermectina no tratamento de Covid-19. Entretanto o posicionamento atual do Conselho Federal de Medicina é de que o médico tem autonomia para receitar a medicação de acordo com seu entendimento pessoal e experiências prévias/estudos científicos que tenha entrado em contato. Por fim, um fabricante nacional de Ivermectina (Vitamedic) publicou um comunicado sugerindo que a campanha na mídia contra a droga seja motivada por interesses comerciais de empresas que seriam detentoras de patentes de possíveis novos fármacos.
No mundo, diversas agências regulatórias já se posicionaram contra a ampla utilização (fora de estudos de ensaios clínicos com supervisão medica integral) da hidroxicloroquina / ivecmectina / azitromicina sendo que dentre elas o FDA Norte Americano, EMA da União Européia. Contraditório ao posicionamento das agencias reguladores, alguns sites como https://c19study.com/ e https://hcqmeta.com/ (são basicamente o mesmo site com domínios diferentes) fazem uma meta análises mostrando a eficácia do tratamento. Contudo, não está clara a metodologia usada para de coleta dos artigos por estes sites, visto que existem diversos no formato pré-print ou de revistas de baixo impacto. Também não fica claro quem é o autor do estudo ou organização que suporta a iniciativa, algo incomum no caso de divulgação científica.
Acredito que até agora a melhor visão a respeito do tema seja de um artigo publicado na STATS. Esse artigo argumenta que a principal característica da maior parte das pesquisas envolvendo as drogas do tratamento precoce é uma desorganização na coleta e análise dos dados muitas vezes com carência de grupos controle e números amostrais inconclusivos (muitas vezes menos de 100 pacientes). O artigo argumenta que esta desorganização leva a resultados contraditórios e uma perda de dinheiro e tempo na confecção desses artigos.
O artigo STATS ainda cita alguns casos onde estudos bem conduzidos levaram a descoberta de fármacos com eficácia que passaram a ser adotados no tratamento do Covid-19. Um exemplo deles é a dexametasona um anti-inflamatório de baixo custo que apresenta evidências de redução das mortes de pacientes em ventilação mecânica (casos graves) a um terço; outro exemplo, mas que não foi citado no artigo anterior, é o uso de heparina (artigo 1, artigo 2). Esta droga está sendo utilizada na redução do quadro embolítico causado pela resposta imune exacerbada desencadeada pela doença. Um primeiros estudos sobre a utilização da droga foi inclusive brasileiro.
A pandemia trouxe a ciência para mais próximo do dia a dia das pessoas. Nunca imaginei que receberia artigos científicos nos meus grupos de WhatsApp do colégio ou mesmo de familiares que não tem nenhuma relação direta com a academia. Isso é ótimo! Entretanto muitas vezes alguns artigos são selecionados (cherry-picking) de forma a comprovar a narrativas específicas retirando o contexto geral de pesquisa na área. Outro problema possível causado pelo excesso de artigos com n amostral pequeno é o p-value hacking. Isto ocorre quando correlações são reportadas como causais sem levar em conta a possibilidade de existirem aleatoriamente por perguntas sucessivas sobre o mesmo tema/base de dados.

Vale lembrar que a pesquisa de novos tratamentos e fármacos passam por várias fazes de validação, o que foi flexibilizado pela urgência por novos tratamentos para Covid-19. Seguindo mesma linha de potenciais tratamentos, poderiam ser sugeridos(as):
- A massagem retal para acabar com soluços (artigo)
- Começar a dirigir Uber para desenvolver o hipocampo (artigo, se bem que com o Wase talvez não deva ter tanto efeito)
- Parar de ouvir música country com o intuito de evitar o suicídio (artigo)
- Que apesar de engolir espadas ser uma profissão perigosa, os ferimentos causados pela prática da profissão tendem a ter melhor prognóstico que ferimentos causados por efeitos colaterais de medicação (artigo)
- Que andar de montanha russa pode ser nocivo para asma (artigo)
- E… acho que posso parar por aqui, quem tiver interesse, todos os anos existe a premiação do Ig Nobel que é dado para as pesquisas mais improváveis. Isso não implica que tenham sido mal conduzidas ou são fraudulentas. Pelo contrário, foram bem executadas, apenas com temas de pesquisa peculiares.
Tudo isso para dizer que um único artigo com efeitos positivos ou negativos não é necessariamente decisivo para aceitar ou refutar uma hipótese. A ciência é contraditória por essência, e o mais importante é nos mantermos aos seus preceitos de hipóteses testáveis, reprodutibilidade das análises e difusão dos resultados de forma a permitir a identificação dos dois preceitos anteriores (reprodutibilidade e hipóteses testáveis). Os paradigmas são construídos pelo acúmulo de evidências e não pela ausência de estudos contraditórios.
Dada a complexidade da questão, o objetivo do estudo não foi verificar a eficiência do tratamento precoce ou variantes dele, para isso seriam necessários testes clínicos que não estão no escopo dos dados analisados. O objetivo foi entender o interesse sobre as medicações associadas ao tratamento precoce para o Covid-19 e compará-las ao interesse pela vacina.
Para isso foram coletados os dados de busca orgânica (Google Trends) dos principais medicamentos de tratamento precoce Azitromicina / Ivermectina/ Cloroquina e da vacina para Covid-19 em diferentes países com realidades distintas. Foram verificadas as tendências de crescimento para os diferentes países para cada uma das palavras chave e por fim foi feita uma regressão buscando entender a relação entre as buscas orgânicas vs. número de casos, mortes e taxa mortalidade ([mortes] / [número de casos]).
Coleta de dados
Google Trends:
Os dados de busca foram coletados a partir do pacote pytrends utilizando 4 diferentes ids:
- /g/11j8_9sv06: Vacina Covid
- /m/032n3z: Azitromicina
- /m/047j8m: Ivermectina
- /m/05c7gk: Cloroquina

Os ids foram buscados usando a mesma requisição de forma que todos fossem relativos à busca de maior intensidade no período. Os ids a cima foram buscados para os países:
Código | País | Região |
AE | Emirados Árabes | Oriente Médio |
AO | Angola | África |
AR | Argentina | Latino América |
AU | Austrália | Oceania |
BR | Brazil | Latino América |
CA | Canada | América do Norte |
CO | Colombia | Latino América |
DE | Alemanha | Europa |
EC | Equador | Latino América |
EG | Egito | África |
ES | Espanha | Europa |
FR | França | Europa |
GB | Grã Bretanha (Inglaterra, Escócia e País de Gales) | Europa |
ID | Indonesia | Ásia |
IN | India | Ásia |
IT | Itália | Europa |
JP | Japão | Ásia |
KR | Corea do Sul | Ásia |
MA | Marrocos | Africa |
MX | México | Latino América |
MY | Malasia | Ásia |
NG | Nigeria | África |
NL | Holanda | Europe |
NZ | Nova Zelância | Oceania |
PE | Peru | Latino América |
PT | Portugal | Europa |
RU | Russia | Europa |
SE | Suécia | Europa |
US | Estados Unidos | América do Norte |
UY | Uruguai | Latino América |
ZA | Africa do Sul | África |
CL | Chile | Latino América |
Dados sobre casos e mortalidade Covid:
Os dados referentes ao número de casos e mortalidade por país foram coletados a partir dos dados disponibilizados pela Johns Hopkins University.
Tratamento de dados
Não tivemos tempo de organizar o código em um repositório. Espero fazer isso logo.
Resultados
Volume de buscas durante 2020
Os resultados de busca não mostram um padrão claro, sendo que na maior parte dos países parece haver um aumento de busca por vacina nos últimos meses de 2020.
É possível verificar um pico na busca por hidroxicloroquina em março de 2020 que corresponde a um aumento na prescrição pelo menos no Estados Unidos. Essa corresponde também a época das primeiras afirmações de eficácia da cloroquina pelo ex-presidente dos EUA Donald Trump.
Comparação entre os países das buscas para dez/2020
Com o intuito de evidenciar o estado atual (dez/2020) das buscas, foi feita a razão entre o Google Trends da busca por cada um dos medicamento contra a busca por vacina, em alguns casos o eixo y foi limitado à 100% para facilitar a visualização.
Os resultados acima demonstram que na maior parte dos países o Google Trends médio das medicações para dezembro de 2020 foi menor que a busca orgânica associada à vacina. O Brasil por sua vez apresenta um padrão contrário, sendo o pais no qual essa razão é mais favorável às medicações, perdendo apenas para a Rússia no caso da azitromicina.
Relação entre o volume de buscas e mortos/casos/taxa de mortalidade
Tentando entender se existe alguma relação entre o número de casos, mortes ou a razão dos dois (mortalidade, dado que houve notificação), foram construídos modelos lineares log-log. Para a regressão foram utilizados os dados consolidados de 2020 como total de mortes e casos e Google Trends médio por termo de pesquisa.
Para a definição de significância estatística estão sendo considerados os valores de: 10% >, marginalmente significativo; 5% >, estatisticamente significativo.
Mortalidade
Segundo as métricas associadas aos parâmetros do modelo não é possível afirmar que exista uma tendência significativa de redução ou aumento de mortes associado aos volumes de busca.
Casos
Apesar das estimativas serem negativas para todos os termos, em todos os casos não existe significância estatística. Os dados de casos também estão muito sujeitos à subnotificação que pode estar influenciando os resultados.
Mortalidade ([número de mortos]/[número de casos])
É possível verificar que houve uma estimativa positiva para os três medicamentos e negativa para a vacina. Além disso, no caso de azitromicina e ivercmectina ambos os parâmetros apresentam valores significativos, indicando um aumento na taxa de mortes com o aumento de busca por essas medicações. Lembrando que isso não implica em uma relação direta de causalidade: buscar no google pela medicação não vai matar um paciente diagnosticado.
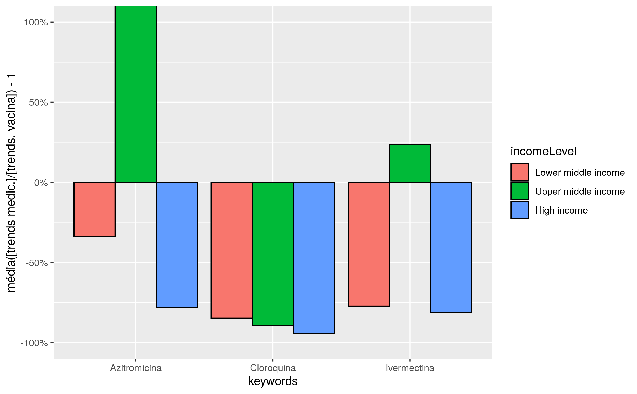
Relação entre o volume de buscas e nível de renda dos países
Com esse estudo buscou-se verificar se existe alguma tendência de maior busca em países de acordo com a condição econômica. Nos resultados abaixo é possível verificar que para todas as medicações países com condições econômicas melhores buscam menos os medicamentos de tratamento precoce quando comparado à busca pela vacina.
Conclusão
Segundo os dados levantados, não existe uma tendência significativa de redução de mortes com o aumento do interesse pelos medicamentos do tratamento precoce.
Para os casos reportados, existe uma tendência não significativa de redução em todos os medicamentos. Isso pode ser explicado por uma maior dificuldade de testagem e notificação, visto que países que com piores condições econômicas apresentam maior volume de buscas para os medicamentos.
O mesmo pode ser argumentado para de taxa de óbito. Neste caso existe uma tendência significativa de aumento da taxa com o aumento das buscas pelas medicações quando comparada à busca por vacina. Mas novamente isso pode ser reflexo da renda dos países (países em piores condições financeiras tendem a buscar mais pelos medicamntos) e subnotificação levando a apenas casos mais graves serem reportados.
A distribuição das buscas nos países analisados mostra que o Brasil encontra-se em uma posição peculiar que apresenta maior interesse de busca de medicações que pela vacina. Isso pode ser verificado pela razão entre as médias do Google Trends para as medicações e vacina, nessa métrica o Brasil encontra-se na 1a posição só perdendo para a Rússia na busca por azitromicina.
Possíveis próximos passos
O estudo atual não chega a investigar relações de causalidade sobre as buscas e as métricas epidemiológicas. Para isso poderia ser utilizado o teste de Causalidade de Granger, com o qual poderia ser verificado se existe uma antecedência temporal sobre o número de casos/mortes sobre aumento de buscas e vice-versa.
A relação entre as buscas e o respeito às orientações de quarentena poderia ser uma outra abordagem interessante. Isso poderia ser verificado usando as métricas de mobilidade disponibilizadas pelo Google e outros provedores.
Um outro recorte interessante seria verificar a comparação entre os estados do Brasil. Nas últimas semanas houve um agravamento da epidemia nos estados do Norte do país. Teria a mesma relação verificada entre os países o Brasil entre os estados? O Brasil por ser um pais continentais apresenta diversas realidades de desenvolvimento econômico que poderiam ser paralelas às observadas entres os países.
Vamos tentar nos organizar para continuar os estudos. Porém nada disso diz respeito ao nosso dia a dia de trabalho o que torna as coisas um pouco mais lentas. Mas, afinal de contas, o que você faz das 7pm às 7am?
Nós na Murabei às vezes fazemos ciência!
Últimas modificações: 18/02/2021 2o parágrafo: Contudo, está clara a metodologia usada para de coleta dos artigos por estes sites -> Contudo, não está clara a metodologia usada para de coleta dos artigos por estes sites



















